NEURAL CONTROL & COORDINATION

A 1 2 3 4 5 6 7 8 9 10 11 12 13 14 15 16 17 18 19 20 21 22 23 24 25 26 27 28 29 30 31 32 33 34 35 B 36 37 38 39 40 41 42 43 44 45 46 47 48 49 50

Section-A

1.Match the following columns

Column-I Column- II
(A) Cell body with one axon and two or more dendrites (1) Myelinated and non-myelinated
(B) Cell body with one axon and one dendrites (2) Unipolar neuron
(C) Cell body with one axon only (3) Bipolar neuron
(D) Axons forms nerve fibres which are of two types (4) Multipolar neuron


A-3,B-1,C-4,D-2
A-4,B-1,C-2,D-3
A-4,B-3,C-2,D-1
A-3,B-4,C-1,D-2

2.Match the following columns

Column-I Column- II
(A) CNS (1) From tissue/organ to CNS
(B) PNS (2) From CNS to tissue/organ
(C) Afferent fibres (3) Comprises of brain and spinal cord
(D) Efferent fibres (4) Comprises of nerves of body

A-2,B-3,C-4,D-1
A-1,B-2,C-3,D-4
A-3,B-4,C-1,D-2
A-1,B-2,C-4,D-3

3.Match the following columns

Column-I Column- II
(A) Synaptic vesicles (1) Resting potential
(B) Electrical potential difference across the resting plasma membrane (2) Nerve impulse
(C) Action potential, termed as a (3) Neurotransmitter
(D) Granular bodies found in the cell body of a neuron (4) Nissl’s granules

A-3,B-1,C-2,D-4
A-2,B-3,C-1,D-4
A-4,B-3,C-2,D-1
A-1,B-4,C-3,D-2

4.Synapses are of two types namely _A_ synapses and _B_ synapses. Here A and B refers to

Neuron-neuron, chemical
Electrical, chemical
Neuron-neuron, electrical
Electrochemical, neuron

5.Reflex action is controlled by

Sympathetic nervous system
Autonomous nervous system
Spinal cord
Peripheral nervous system

6.Which one of the following pairs of structures distinguishes a nerve cell from other types of cell?

Perikaryon and dendrites
Vacuoles and fibres
Flagellum and medullary sheath
Nucleus and mitochondria

7.Corpus callosum connects

Two cerebral hemispheres
Two ventricles of brain
Two cerebellar hemispheres
Two optic thalamus

8.Identify the parts labelled as A and E and choose the correct option for the diagrammatic representation of reflex action showing knew-jerk reflex


A-Dorsal root ganglion, B-White matter, C-Gray matter, D-Afferent pathway, D-Efferent pathway
A-Dorsal root ganglion, B-White matter, C-Gray matter, D-Efferent pathway, D-Afferent pathway
A-Dorsal root ganglion, B-Gray matter, C-White matter, D-Efferent pathway, D-Afferent pathway
A-Ventral root ganglion, B-White matter, C-Gray matter, D-Efferent pathway, D-Afferent pathway

9.Which one of the following is not a part of ear?

Eustachian
Cone cell
Utriculus
Sacculus

10.What is the location of hypothalamus?

At the base of the cerebellum
At the base of the thalamus
Above the thalamus
Above the cerebellum

11.In the axon of motor nerve fibre, the nerve impulse travels

Towards cell body
Away from cell body
Away from synapse
In both directions

12.The functions of the organs/organ system in our body must be coordinated to maintain __ Complete the given statement with reference to NCERT textbook

Muscular activity
Homeostasis
Respiration
Neural coordination

13.Old age far sightedness is a defect of eye in which

Lens becomes opaque
Eyeball becomes small
Eyeball becomes long
Lens loses its elasticity

14.Gustatoreceptors are

Rod cells of eyes
Taste buds of tongue
Epithelium of skin
Cone cells of eye

15.A structure of neuron comprises of

Cell body, synaptic knob, ganglia
Synaptic vesicles, ganglia, dendrites
Cell body, dendrites, ganglia
Cell body, dendrites, axon

16.The complex system of the inner ear associated with maintenance of body balance is

Cochlea
Reissner’s membrane
Vestibular apparatus
Basilar membrane

17.In dark adaptation

Only cones are involved
Only rods are involved
Both rods and cones
Neither rods nor cones are involved

18.Choose the odd pair out in the following

Areolar connective tissue-Collagen
Epithelium-Keratin
Neuron-Melanin
Muscle fibre-Actin

19.Which one is correct regarding the ear and hearing?

The range of human hearing is from 20 Hz to 20 kHz
Conductive hearing loss would be evident if a person had a similar degree of hearing loss for air conduction and bone conduction
The ear is most sensitive to frequencies between about 100 Hz and 300 Hz
The endolymph of the scala media is similar in composition to plasma

20.Involuntary activities of the body are controlled by

Autonomic nervous system
Somatic nervous system
Both of the above
None of the above

21.Given is the diagram of human eye. Identify A and E


Aqueous chamber → Ciliary body → Iris → Blindspot → Sclera
Aqueous chamber → Ciliary body → Sclera → Blindspot → Iris
Aqueous chamber → Ciliary body → Blindspot → Iris → Sclera
Ciliary body → Aqueous chamber → Blindspot → Iris → Sclera

22.Which pair of systems jointly coordinate and integrate all the activities of the organs, so that they function in a synchronized fashion?

Neural and respiratory
Neural and digestive system
Neural and endocrine system
Neural and circulatory system

23.Which of the following features show antagonism over a particular organ?

Organs Sympathetic Nervous System Parasympathetic Nervous System
(a) Gastric glands Stimulates secretion of gastric juice Reduces bile secretion, increases release of sugar
(b) Intestinal glands Decreases secretion of intestinal juice Promotes secretion of intestinal juice
(c) Pancreas Promotes bile secretion Increases storage of sugar as glycogen
(d) Salivary glands Stimulates secretion of saliva Inhibits secretion of saliva

(a)
(b)
(c)
(d)

24.The _A_ is a structure located on the _B_ which contains _C_ that acts as auditory receptors
Choose the correct option for A, B and C

A-basilar membrane, B-tectorial membrane, C-hair cells
A-basilar membrane, B-organ of corti, C-hair cells
A-basilar membrane, B-hair cells, C-tectorial membrane
A-organ of corti, B-basilar membrane, C-hair cells

25.Which of the following cells are associated with identification of colours in bright light?

Rod cells
Cone cells
Both Rod cells and Cone cells
None of these

26.Vitreous chamber, which is filled by vitreous humor is the space

Behind the lens
In front of lens
between choroid and retina
between choroid and sclera

27.Which part of human brain is concerned with the regulation of body temperature?

Medulla oblongata
Cerebellum
Cerebrum
Hypothalamus

28.Choose the incorrect options regarding white matter of the brain
I. White matter of the brain is white in colour
II. White matter of the brain is white in colour but sometimes it is found to be grey
III. White matter of the brain is mostly formed by medullated nerve fibres
IV. White matter of the brain is formed of cell bodies of nerve fibres

I and III
II and IV
I and IV
II and III

29.The rods and cones of the retinal layer of eye are modified

Hairs
Unipolar neurons
Bipolar neurons
Multipolar neurons

30.The brain can be divided into

Telencephalon, Rhombencephalon, Diencenphalon
Mesencephalon, Telencephalon, Diencenphalon
Prosencephalon, Mesencephalon, Rhombencephalon
Diencenphalon, Prosencephalon, Rhombencephalon

31.Which of the following statements is correct regarding receptors in the skin?

All skin receptors are encapsulated
The receptive fields of touch receptors are uniform in area
The nociceptors of the skin are bare nerve endings
All sensory information from the skin reaches the brain via the dorsal column pathway

32.Synaptic knob is bulb-like structure which is present

At the end of axon terminal
At the node of Ranvier
In the cell body
At the end of dendrites

33.The potential difference across the membrane of nerve fibre when it does not shown any physiological activity is called resting potential. It is about

-60 mV
-80 mV
+60 mV
+90 mV

34.In the following abnormalities of the eye, which one is serious condition that leads to blindness?

Presbyopia
Myopia
Hypermetropia
Glaucoma

35.The function of vagus nerve innervating the heart is to

Initiate the heart beat
Reduce the heart beat
Accelerate the heart beat
Maintain constant heart beat

Section-B

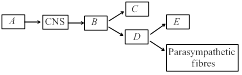
36.Select the correct arrangement of fibres (A-E) in the diagram given below


A-Afferent, B-Efferent, C-Somatic motor, D-Autonomic, E-Sympathetic
A-Efferent, B-Afferent, C-Somatic motor, D-Autonomic, E-Sympathetic
A-Afferent, B-Efferent, C-Autonomic, D-Somatic motor, E-Sympathetic
A-Efferent, B-Afferent, C-Autonomic, D-Somatic motor, E-Sympathetic

37.The most appropriate definition for neuroglial cells are that they are

Non-sensory supporting cells
Secretory cells
Sensory cells
Sensory and supporting cells

38.Brain depends on blood for the supply of

Oxygen and glucose
Oxygen and electrolytes
Oxygen and ATP
ATP and glucose

39.Which of the damaged cells cannot be repaired?

Liver cells
Brain cells
Bone cells
Epidermal cells

40.There are different types of cones to human eye that responds to

Red and green lights
Green and blue lights
Red and blue lights
Red, green and blue lights

41.Which part of brain is associated with strong emotions?

Limbic system
Medulla
Cerebellum
Cerebral cortex

42.Nerve impulse initiates with the movement of

$K^+$
$Na^+$
$Ca^+$
$Mg^+$

43.Hypothalamus controls
I. urge for eating and drinking
II. thermoregulation
III. hormones production that regulates the secretion of pituitary gland
IV. creative thinking and consciousness

I and III are correct
II and III are correct
I and II are correct
I, II and III are correct

44.You are watching a horror movie and you notice your heart is beating fast and mouth is dry. It is because of

Fight and flight response
Autonomic nervous system
Sympathetic nervous system
Both Fight and flight response and Sympathetic nervous system

45.Human ears perform sensory functions. These are

Hearing organs
Maintenance of body balance
Both Hearing organs and Maintenance of body balance
Voice production

46.The decoding and interpretation of visual information is carried out by which part of the brain?

Cerebellum
Frontal lobe
Parietal lobe
Occipital lobe

47.During the transmission of nerve impulse through a nerve fibre, the potential on the inner side of the plasma membrane has which type of electric charge?

First negative, then positive and again back to negative
First positive, then negative and continue to be negative
First negative, then positive and continue to be positive
First positive, then negative and again back to positive

48.Pneumotaxic centre which can moderate the functions of the respiratory rhythm centre is present at

Pons region of brain
Thalamus
Spinal cord
Right cerebral hemisphere

49.Which of the following statements are correct for cones of human eye?
I. Cones are responsible for daylight vision
II. Cones are responsible for colour vision
III. Cones are responsible for photopic vision
Choose the correct option

Only I
I and II
II and III
I, II and III

50.The inner parts of cerebral hemispheres and a group of associated deep structures like amygdala, hippocampus, etc. form a complex structure called

Arbor vitae
Limbic lobe/limbic system
Corpora quadrigemina
Reticular system