FULL TEST 04
1.Most plants are green in colour because
2.Which of the following organism possesses characteristics of both a plant and an animal?
3.Function of companion cells is
4.In cell cycle, DNA replication takes place in
5.Select the events that do not occur in interphase stage of cell-cycle (i) RNA and protein synthesis.(ii) Cytoplasmic growth.(iii) Polymerisation of spindle fibres protein. (iv) Disappearance of Golgi bodies and ER.(v) DNA molecules in highly supercoiled stage.
6.Organisms which are indicator of SO$_2$ pollution of air are
7.Choose the correct option for A, B, C and D of a mature embryo sac.
8.In which one pair both the plants can be vegetative propagated by leaf pieces?
9.A typical angiospermous ovule is attached to the placenta by means of a stalk called X. Body of the ovule fuses with X in the region called Y. Identify X and Y.
10.Identify the correctly matched pair.
11.Secondary sewage treatment is mainly a
12.Species interaction with negative influence on both is referred to as
13.Cotyledons and testa respectively are edible parts in
14.When pollen grains are not transferred from anthers to stigma in a flower, due to the barrier, it is called
15.Water potential is equal to
16.Which of the following is a free living aerobic non-photosynthetic nitrogen-fixer?
17.What kinds of the structures of proteins are shown in the following figure ?
18.In soil, the water available for root absorption is
19.Which of the following minerals activate the enzymes involved in respiration?
20. $C_4 $ acid, formed in the mesophyll of $C_4 $ plants leaf during photosynthesis is
21.Azotobacter and Beijerinckia are the examples of
22.The first carbon dioxide acceptor in $C_4$-plants is
23.Select the incorrect statement regarding DNA replication
24.Red (RR) Antirrhinum is crossed with white (WW) one. Offspring RW are pink. This is an example of
25.Food chain in which micro-organisms breakdown the food formed by primary producers is
26.Which of the following pairs is a sedimentary type of biogeochemical cycle?
27.Independent assortment of genes does not take place when
28.Breeding of crops with high levels of minerals, vitamins and proteins is called
29.If we completely remove the decomposers from an ecosystem, its functioning will be adversely affected, because
30.A nucleotide is formed of
31.Which of the following hormones are responsible for maintaining bud dormancy in deciduous trees ?
32.A small segment of DNA contains the base sequence CGT. If an mRNA transcript is made that includes this DNA sequence, what will be the anticodon on the tRNA that will bind to the corresponding mRNA codon for this DNA triplet?
33.Which of the following is a reducing sugar?
34.Which of the following processes make direct use of oxygen ?
35.Phosphofructokinase is inhibited by $H^+$ ions and hence the reate of glycolysis:
36.Which of the following is a biological uncoupler of oxidative phosphorylation ?
37.Wildlife is destroyed most when
38.Golden rice is a transgenic crop of the future with the following improved trait :
39.Which of the following could not be considered an ecosystem ?
40.A common biocontrol agent for the control of plant diseases is
41.Which of the following is not caused by deficiency of mineral nutrition -
42.A number of natural reserves have been created to conserve specific wild life species. Identify the correct combination from the following
43.PCR and Restriction Fragment Length Polymorphism are the methods for :
44.The $C_4$ plants are photosynthetically more efficient than $C_3 $ plants because:
45.The enormous diversity of protein molecules is due mainly to the diversity of
46.Mannitol is stored food in
47.Sporangia and spore bearing leaf in fern is called as
48.Eye of potato is
49.The common bottle cork is a product of :
50.Guttation is a result of
51.A tooth scraping yields large numbers of corkscrew shaped bacteria. These bacteria are referred to as
52.Which one of the following pairs of animals comprises ‘jawless fishes’?
53.Intercalated discs are the communication junctions between the cells of
54.Which of the following has parapodia that function in movement and respiration ?
55.Pseudostratified epithelium is found in
56.Male and female cockroaches can be distinguished externally through
57.Nerve cells do not divide because they do not have
58.Strobilanthes kunthiana differs from bamboo in
59.Human population growth in India
60.The diaphragm, cervical cap and vaults are
61.The main function of trophoectoderm in mammalian embryo is
62.Following diagrammatic representation refers the natural selection on different traits. In which all the three graphs A, B and C are identified correctly
63.Which one of the following statements about human sperm is correct?
64.Bulbourethral gland is present in
65.One of the factors required for the maturation of the erythrocytes is
66.In which of the following would you record the highest blood pressure ?
67.Oxyntic cells are located in
68.If Henle’s loop were absent from mammalian nephron which of the following is to be expected?
69.Hepatic portal system carries
70."Kwashiorkar' and 'Beri-Beri' are
71.ABO blood group system is due to
72.Change over time within an evolutionary lineage (phyletic change)..
73.Bull semen for the purpose of artificial insemination is stored in
74.The kind of evolution in which two species of different geneology come to resemble one another closely, is termed as
75.Drosophila flies with XXY genotype are females, but human beings with such genotype are abnormal males. It shows that
76.Hinny is a hybrid of male
77.Which of the following is the first step in allopatric speciation?
78.When CO$_2$ concentration in blood increases, breathing becomes
79.Identify A, B, C and D
80.The lungs, heart and stomach are supplied by :
81.Which one of the following is the correct statement for respiration in humans?
82.Which gland is involved in the function of our “biological clock”?
83.Which of the following statements regarding glucagon is false?
84.Which hormone possesses anti-insulin effect?
85.Which is the example of conditioned reflex ?
86.Which one of the following techniques made it possible to genetically engineerd living organism ?
87.The diagram opposite shows a homologous (bivalent) pair of chromosomes during meiosis. Which of the following correctly represents the final products of the second meiotic division ?
88.Which of the following is the "bird flu virus"?
89.What is mode of bacterial resistance against antibiotics ?
90.Which one of the following is a wrong matching of a microbe and its industrial product, while the remaining three are correct ?
91.Interleukins are responsible for activation of
92.Select the correct statement with respect to diseases and immunisation?
93.Vitamin D is synthesized in skin by the action of sunlight on
94.Which one of the following is the correct matching of three items and their grouping category?
95.What is the first step in the Southern blot technique?
96.Gambusia is a
97.Which part of Cockroach has both exoskeleton and endoskeleton?
98.If concentration of $CO_2$ is more the curve of oxygen will shift towards
99.Which one engulfs pathogens rapidly?
100.Blood fraction remaining unchanged after circulation through kidney is
101.The observed osmotic pressure for a 0.10 M solution of $Fe(NH_4)_2(SO_4)_2$ at 25°C is 10.8 atm. The expected and experimental (observed) values of van’t Hoff factor (i) will be respectively: (R = 0.082 L atm K$^{-1}$ mol$^{-1}$)
102. In the Freidel Craft's acylation reaction, the effective electrophile is
103.Match the columns
104.Specific volume of cylindrical virus particle is $6.02 × 10^{-2}$ cc/gm. whose radius and length 7 Å & 10 Å respectively. If N$_A$ = $6.02 × 10^{23}$
105.Arrange the following in increasing order of their acidity? o–cresol(a), salicyclic acid(b), phenol(c)
106.Consider the following statementsI. The radius of an anion is larger than that of the parent atom. II. The ionization energy generally increases with increasing atomic number in a period. III. The electronegativity of an element is the tendency of an isolated atom to attract an electron. Which of the above statements is/are correct?
107.$Cl_2$ changes to $Cl^-$ and $ClO^-$ in cold NaOH. Equivalent weight of $Cl_2$ will be
108. Pick out the wrong statement.
109.In the conversion of Br$_2$ to BrO$^-_3$ , the oxidation number of Br changes from
110.Arrange the following phenols in order of their increasing acidity.
111.The average molecular speed is greatest in which of the following gas samples ?
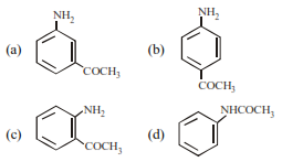
112.Aniline is an activated system for electrophilic substitution. The compound formed on heating aniline with acetic anhydride is
113.The formula mass of Mohr's salt is 392. The iron present in it is oxidised by KMnO$_4$ in acid medium. The equivalent mass of Mohr's salt is
114.Sewage mostly constitutes
115.The Langmuir adsorption isotherm is deduced using the assumption
116.Which of the following can be repeatedly soften on heating?(i) Polystyrene (ii) Melamine(iii) Polyesters (iv) Polyethylene (v) Neoprene
117.The volume-temperature graphs of a given mass of an ideal gas at constant pressure are shown below. What is the correct order of pressures ?
118.Which of the following is used for making optical instruments?
119.The correct order of acid strength of oxyacids is:
120.25.3 g of sodium carbonate, $Na_2CO_3$ is dissolved in enough water to make 250 mL of solution. If sodium carbonate dissociates completely, molar concentration of sodium ions, $Na^+$ and carbonate ions, $CO_3^{2-}$ are respectively (Molar mass of $Na_2CO_3$ = 106 g/mol
121.In which alkyl halides, $S_N$2 mechanism is favoured maximum ?
122.Equilibrium constant K changes with temperature.At 300 K, equilibrium constant is 25 and at 400 K it is 10. Hence, backward reaction will have energy of activation
123.Which of the two ions from the list given below that have the geometry that is explained by the same hybridization of orbitals, $NO_2^-$, $NO_3^-$, $NH_2$, $NH_4^+$, $SCN^-$ ?
124.
125.White lead is
126.The commonest method for the extraction of metals from oxide ores involves :
127.With which one of the following elements silicon should be doped so as to give p-type of semiconductor ?
128.IUPAC name of $[Pt(NH_3)_3(Br)(NO_2)Cl]Cl$ is
129.A molecule M associates in a given solvent according to the equation M $⇄$ $(M)_n$. For a certain concentration of M, the van't Hoff factor was found to be 0.9 and the fraction of associated molecules was 0.2. The value of n is:
130.Which of the following compound will undergo self aldol condensation in the presence of cold dilute alkali ?
131.When one mole of an ideal gas is compressed to half its initial volume and simultaneously heated to twice in initial temperature, the change in entropy (∆S) is
132.If x is amount of adsorbate and m is amount of adsorbent, which of the following relations is not related to adsorption process ?
133.For the reaction of one mole of zinc dust with one mole of sulphuric acid in a bomb calorimeter, ∆U and W corresponds to
134.Reactivity of hydrogen atoms attached to different carbon atoms in alkanes has the order
135.In most cases, for a rise of 10K temperature the rate constant is doubled to tripled. This is due to the reason that
136.The restricted rotation about carbon carbon double bond in 2-butene is due to
137.Which of the following colligative property can provide molar mass of proteins (or polymers or colloids) with greatest precision ?
138.Cyclic hydrocarbon ‘A’ has all the carbon and hydrogen atoms in a single plane. All the carbon carbon bonds have the same length, less than 1.54 Å, but more than 1.34 Å. The C – C – C bond angle will be
139.The major product obtained in the photo catalysed bromination of 2-methylbutane is:
140.The reason for double helical structure of DNA is the operation of:
141.Among the following, correct statement is :
142.What is the correct order of spin only magnetic moment (in BM) of Mn$^{2+}$, Cr$^{2+}$ and V$^{2+}$
143.In which of the following cases, pH is greater than 7?
144.In the presence of platinum catalyst, hydrocarbon A adds hydrogen to form n-hexane. When hydrogen bromide is added to A instead of hydrogen, only a single bromo compound is formed. Which of the following is A?
145.Which of the following statements are correct ? (i) Polynuclear hydrocarbons contain two or more benzene rings fused together. (ii) Polynuclear hydrocarbons have carcinogenic property. (iii) Polynuclear hydrocarbons are formed on incomplete combustion of organic materials like tobacco, coal and petroleum. (iv) They are also produced in human body due to various biochemical reactions.
146.Which of the following is not a property of colloidal solution?
147.The correct order of heat of formation of halogen acids is
148.Which of the following is not an actinoid?
149.Which of the following gives maximum energy in metabolic processes?
150.Which of the following is a branched polymer?
151.The specific resistance r of a circular wire of radius r, resistance R and length l is given by $ρ=\frac{π^2R}{l}$. Given, r = 0.24 ± 0.02 cm, R = 30 ± 1$Ω$ and l = 4.80 ± 0.01 cm. The percentage error in ρ is nearly
152.A boy is spinning on a rotating stool with his arms down to his sides. Suddenly he stretches his arms. Which of the following is true regarding his angular speed (ω) and the angular momentum (L) ?
153.If the radius of the earth shrinks by 2% and mass remains unchanged then acceleration due to gravity will
154.IF $μ_R$, $μ_K$ and $μ_S$ represent the coefficients of rolling friction, kinetic and static friction, then
155.A right prism is made by selecting a proper material and the angle A and B (B << A) as shown in fig. It is desired that a ray of light incident on the face AB emerges parallel to the incident direction after two internal reflections.What should be the minimum refractive index m for this to be possible ?
156.Kirchhoff’s I and II laws are based on conservation of
157.An ideal gas heat engine operates in a Carnot cycle between 227$^0$C and 127$^0$C. It absorbs 6 kcal at the higher temperature. The amount of heat (in kcal) converted into work is equal to
158.The work function of a metallic substance is 5 eV. The threshold frequency is approximately
159.The component of vector a = 2î + 3ĵ along the vector b = î + ĵ
160.What is the ratio of the shortest wavelength of the Balmer series to the shortest wavelength of the Lyman series ?
161.A smooth inclined plane is fixed in a car accelerating at a = g tanθ. If the sphere is set pure rolling on the incline then
162.Use of eddy currents is done in the following except
163.A satellite of mass m is put into a circular orbit of height h from the surface of the earth (mass = M$_e$, radius = $R_e$). The orbital speed of satellite is
164.Consider the following statements and select the incorrect statement(s).
165. 16 g of oxygen at 37°C is mixed with 14 g of nitrogen at 27°C, the temperature of the mixture will be
166.At the centre of a cubical box + Q charge is placed. The value of total flux that is coming out a wall is
167.A particle moves under the effect of a force F = cx from x = 0 to x = x$_1$, the work done in the process is
168.According to the kinetic theory of gases, the pressure exerted by a gas on the walls is measured as
169.The resistance of a resistor with the following colour code is equal to
170.The fundamental frequency of a closed end organ pipe is n. Its length is doubled and radius is halved. Its frequency will become nearly
171.A rain drop of radius 0.3 mm has a terminal velocity in air = 1 m/s. the viscosity of air is 8 × 10$^{-5}$ poise. The viscous force on it is
172.A particle moves such that its acceleration ‘a’ is given by a = –bx where x is the displacement from equilibrium position and b is constant. The period of oscillation is
173.A person who can see things most clearly at a distance of 10 cm, requires spectacles to enable to see clearly things at a distance of 30 cm. What should be the focal length of the spectacles?
174.The magnetic field of earth at the equator is approximately 4 × 10$^{-5}$T. The radius of earth is 6400 km. Then the dipole moment of the earth will be nearly of the order of:
175.To which logic gate does the truth table given below correspond?
176.A passenger travels along the straight road for half the distance with velocity v$_1$ and the remaining half distance with velocity v$_2$ . Then average velocity is given by
177.A point initially at rest moves along x-axis. Its acceleration varies with time as a = (6t + 5)m/s$^2$ . If it starts from origin, the distance covered in 2s is
178.With O as the or igin of the coor dinate axis, the X and Y-coordinates of the centre of mass of the system of particles shown in the figure may be given as (Here m and 2m represent the masses of the particles).
179.A nuclear reaction is given by $X_Z^A$ $→$ $_{Z+1}Y^A$ + $_{-1}e^0$ + ṽ, represents
180.Steam is passed into 22 gm of water at 20$^0$C. The mass of water that will be present when the water acquires a temperatue of 90$^0$C (Latent heat of steam is 540 cal/g) is
181.Electromotive force is the force which is able to maintain a constant
182.A prism of refractive index $√2$ has a refracting angle of 60$^0$. At what angle a ray must be incident on it so that it suffers a minimum deviation?
183.Select the incorrect statement about Lorentz Force.
184.In an AC generator, a coil with N turns, all of the same area A and total resistance R, rotates with frequency ω in a magnetic field B. The maximum value of emf generated in the coil is
185.A diametrical tunnel is dug across the earth. A ball is dropped into the tunnel from one side. The velocity of the ball when it reaches the centre of the earth is (Given : gravitational potential at the centre of earth = $\frac{-3}{2}\frac{GM}{R}$
186.A spring of force constant 800 N/m has an extension of 5 cm. The work done in extending it from 5 cm to 15 cm is
187.If it takes 5 minutes to fill a 15 litre bucket from a water tap of diameter $\frac{2}{√π}$cm then the Reynolds number for the flow is close to (density of water = 1000 Kg/$m^3$ and viscosity of water = $10^{-3}$ Pa.s):
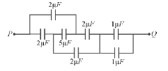
188.The effective capacitance between the points P and Q of the arrangement shown in the figure is
189.A glass rod 20 cm long is clamped at the middle. It is set into the longitudinal vibration. If the emitted sound frequency is 4000 Hz, the velocity of sound in glass will be
190.A transistor has an α = 0.95, then β is equal to
191.A coil of circular cross-section having 1000 turns and 4 cm$^2$ face area is placed with its axis parallel to a magnetic field which decreases by 10$^{-2}$ Wb m$^{-2}$ in 0.01 s. The e.m.f. induced in the coil is:
192.A particle is moving eastwards with a velocity of 5 m/s. In 10 seconds the velocity changes to 5 m/s northwards. The average acceleration in this time is
193.In bringing an electron towards another electron, the electrostatic potential energy of system
194.Four Bulbs $B_1$, $B_2$, $B_3$ and $B_4 $ of 100 W each are connected to 220 V main as shown in the figure. The reading in an ideal ammeter will be:
195.In a solenoid, if number of turns is doubled, then self inductance will become
196.The ratio of the numerical values of the average velocity and the average speed of a body is always
197.A man starts walking from a point on the surface of the earth (assumed smooth) and reaches diagonally opposite point.What is the work done by him?
198.The radius and mass of earth increased by 0.5%. which of the following statements is false at the surface of the earth?
199.A and B are two wires. The radius of A is twice that of B. They are stretched by the same load. Then the stress on B is
200.When a bimetallic strip is heated, it